叶片应变监测系统的设计与研究:光纤光栅技术的应用探索

2025-10-13 10:18

一、测试目的

风电叶片在制造、运输和运行中可能产生损伤,如裂纹、分层等,影响结构安全。本文通过光纤光栅(FBG)传感器对叶片进行应变监测,旨在验证叶片在型式试验中的结构健康状况,评估其应变响应,确保叶片在静态和动态加载下的可靠性。

二、光纤布设

智能布设模块导出的传感器布设方案如示意图所示,叶片的PS面后缘贴附3个FBG,PS面前缘贴附1个FBG,SS面后缘贴附2个FBG,SS面前缘贴附4个FBG。主要监测位置涉及叶片外表面PS后缘5米至22米、叶片外表面PS前缘22米、叶片外表面SS前缘5米至22米、叶片外表面SS后缘5米至17米。

1.png


三、加载方式:

静态加卸载试验:通过液压系统对叶片施加拉力,记录加载和卸载过程中的应变数据。

2.png

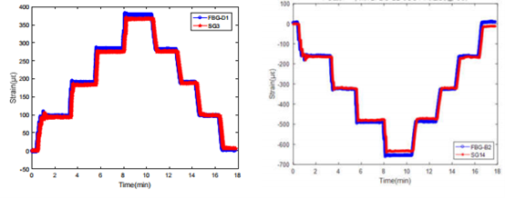
分别在PS面和SS面区域挑选FBG传感器的应变值和应变片进行比较,下图分别在PS面和SS面选取的点,观察到加卸载过程中FBG传感器的应变值和应变片的值偏差较小,进而证明FBG传感器应变值的可靠性。

3.png

四、数据分析

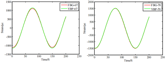
风电叶片型式试验动态挥舞过程中,选取了PS面和SS面部分光栅传感器和应变片数据进行对比,如图所示,软件系统采集器数据与应变片数据基本保持一致,偏差较小。

4.png


bb07408b936815fd0381c88804bd126c

e13d6e1fdd28d17322ea1cd962510043


五、总结

与传统的应变片方案相比,FBG传感器具有抗电磁干扰、布线简单、耐久性好等优点。成功解决了叶片测试中通道多、接线复杂、传感器易损坏等工程痛点,对风电叶片型式试验的应变监测十分便携有效,具备很高的工程应用与推广价值。

图片与文章来源:《光纤光栅叶片试验应变测试系统设计与研究》


武汉瑞利光测:

武汉市瑞利光测科技有限公司成立于2023年,是一家专注于光纤传感技术研发与应用的高科技企业。公司致力于为工业、科研、能源、交通等领域提供先进的超高速光纤光栅解调仪及配套的光纤光栅传感器,为客户提供精准、可靠的测试解决方案。

超高速光纤光栅解调仪:公司自主研发的超高速光纤光栅解调仪系列产品,涵盖25kHz、100kHz、200kHz、400kHz等多种型号,能够满足不同场景下的高速、高精度解调需求。产品具有响应速度快、测量精度高、抗干扰能力强等特点,广泛应用于动态监测与实时控制领域。

光纤光栅传感器:公司提供多种光纤光栅传感器,包括压力传感器、温度传感器、加速度传感器、应变传感器等。这些传感器具有体积小、重量轻、耐腐蚀、抗电磁干扰等优势,适用于极端环境下的长期稳定监测。

测试解决方案:针对客户的具体需求,公司提供定制化的测试解决方案,涵盖传感器选型、系统集成、数据分析等全流程服务,帮助客户实现高效、精准的监测目标。